Administrative Resource
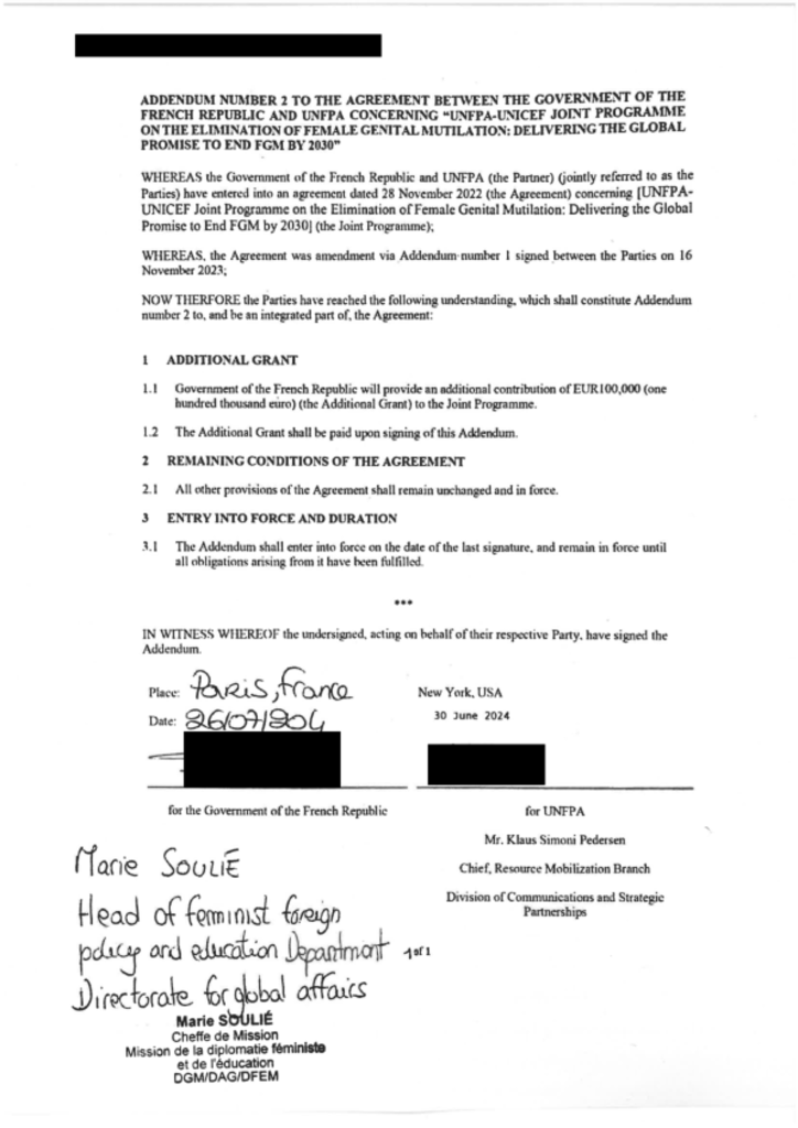
Addendum No. 2 to the SAA signed between UNFPA and the Government of France for Phase IV of the Joint Programme on the Elimination of Female Genital Mutilation
Resource date: 26 July 2024
Author: UNFPA
This is addendum no.2 to the Standard Administrative Arrangement Phase IV agreement signed between UNFPA and the Government of France for the Joint Programme on the Elimination of Female Genital Mutilation
Related download
-
EN
SAA Addendum